Skip to main content
Your Cart

Document-by-Document Evaluations

Starting Price $110

A straightforward U.S. equivalency report

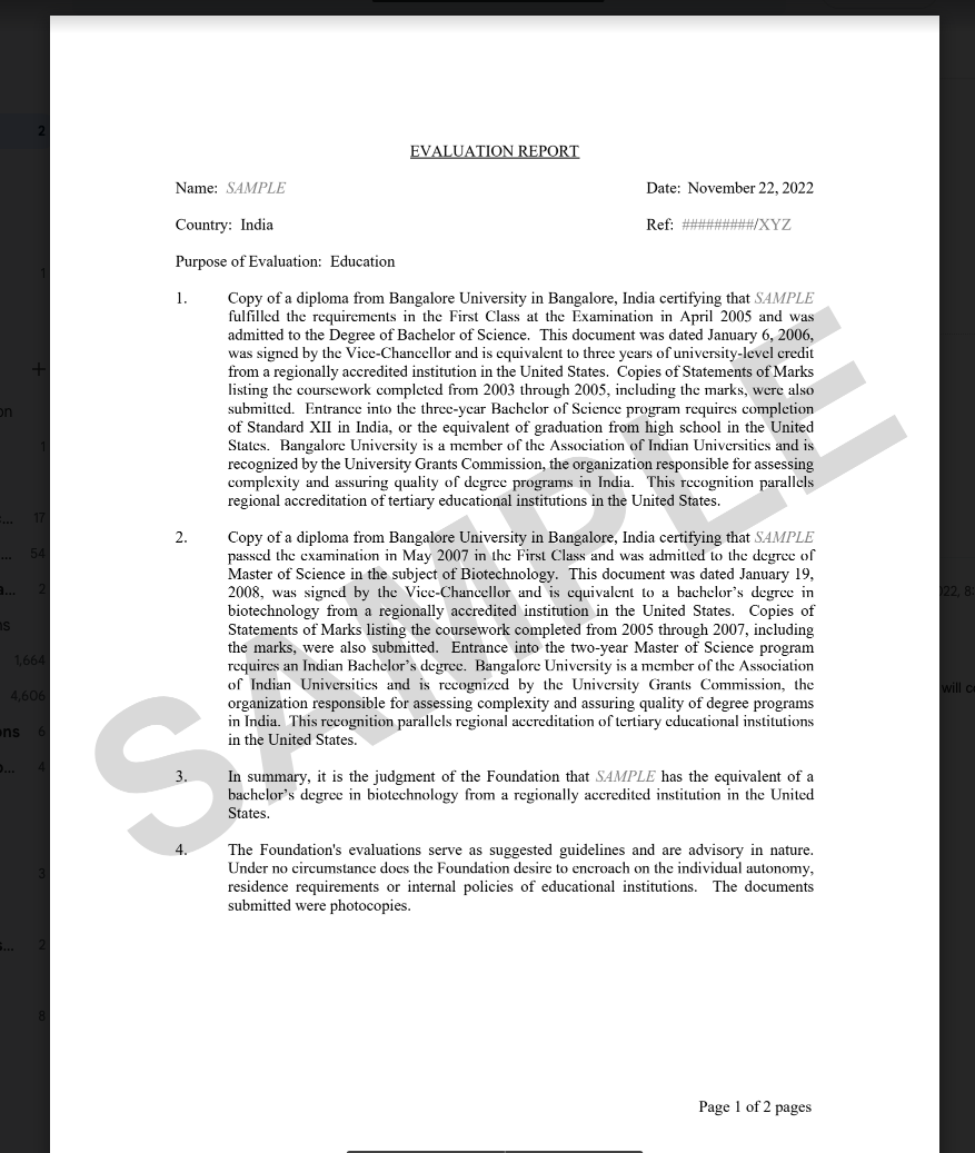
A Document-by-Document report evaluates each foreign academic program to determine its corresponding US educational equivalent. These reports are simpler than Course-by-Course evaluations, but they include all the basic criteria expected by potential employers, schools, universities, and licensing boards including institutional accreditation/recognition, program duration, dates of study, and entrance requirements. For an additional fee, the report may be modified to include a cumulative grade point average (GPA) per program/degree.
Name on Academic Documents

Educational History













It is the responsibility of the applicant to know the requirements of the receiving institution and to provide the appropriate documentation. Please submit all relevant educational documents (i.e. diploma, transcript, mark sheets). The evaluation will indicate if originals, certified copies, or photocopies were submitted. Credentials equivalent to completion of professional or vocational training will not be included in the evaluation. If both secondary (high school) and university-level credentials are submitted, the Foundation for International Services, Inc. (FIS) will analyze the post-secondary studies only, unless requested at the time of application. English translations (preferably certified translations) are required for all non-English documents that are necessary to perform an evaluation. FIS offers translation services (these fees are in addition to the evaluation price).

Requests for Next Day Services must be received before 2:00pm (Pacific). Requests for Same Day Services must be received before 12:00pm (Pacific). Adding translation services will extend the turnaround time/due date.

  • The fastest turnaround timing we offer for a combined Document by Document evaluation with translations is a total of 3 business days (this is with the purchase of a Next Day Service).
  • One Week Document by Document or Course by Course Evaluation combined with Translation services is extended to a total of 7 business days.
  • FIS translation services are separate fees in addition to the evaluation price.
  • Timing begins once payment is received and all necessary/requested documents are on file.
Evaluation reports are delivered via email as a high-resolution, color PDF.

In preparing an evaluation report, every effort is made to consult appropriate resources in order to provide the most accurate evaluation possible consistent with the purpose of the request. The Foundation reserves the right to contact institutions/agencies and to verify the accuracy/authenticity of any documents submitted for evaluation. This may affect the timing of the evaluation. The decision as to whether a formal evaluation report will be completed rests solely with FIS. Any file inactive for more than six (6) months may be cancelled.


Uploading Files

You can only purhcase a maximum of 1 of the Document-by-Document Evaluations per order.

By submitting this form, I consent to the personal data entered here being collected and stored. Personal data will not be shared with third parties except as indicated in our Privacy Policy

Document-by-Document

Education systems vary from country to country. Trust the trained professionals at FIS to know how credentials from a country compare in the U.S. Each candidate’s documents are analyzed to determine the most accurate U.S. equivalent.

Important Information 

  • Original documents must be mailed to the FIS office directly from the foreign institution if originating from the following countries -  Cameroon, Ghana, Nigeria and directly from Consultoria Juridica Internacional (CJI) or Bufete de Servicios Especializados (BES) for Cuba. All credentials from Yemen must be authenticated by the Embassy.
  • Uploaded documents will not be accepted if they do not have signatures, or are editable unless we are able to verify them via QR code or secure link. FIS will not accept printouts from university websites.
  • Cancellation policy: All evaluation requests are subject to a $50 minimum cancellation fee.
  • Click here to view Terms & Conditions

 

Business Fields

Accounting, business administration, economics, finance, management, management information systems (MIS), marketing and others.

Samples of “specialty occupation” positions: Market Research Analyst, Marketing Manager, Logistics Manager, International Business Analyst, Accountant, Credit Analyst, Purchasing Manager.

Computer and Information Technology Fields

Computer science, computer technology, computer information systems (CIS), information technology (IT), management information systems (MIS) and others.

Samples of “specialty occupation” positions: Systems Analyst, Network Administrator, Project Lead/Software Engineer, Programmer Analyst, Web Administrator.

Engineering/Technology Fields

Automotive, chemical, construction, electrical, industrial, manufacturing, materials, mechanical, systems and others.

Samples of “specialty occupation” positions: Construction Manager, Director of Advanced Product Development, Tool Design Program Manager.

Humanities/Arts Fields

Communication, dance, education, English, fashion design, film/digital media, fine arts, graphic design, interior design, journalism, literature, music, technical writing, theatre, urban planning, and others.

Samples of “specialty occupation” positions: Graphic Designer, Music Director, Public Relations Specialist, Teacher, Journalist, Film Archivist, Technical Writer.

Science Fields

Actuarial science, biochemistry, biotechnology, exercise sciences, food sciences, health sciences, physics, quantitative analysis, and others.

Samples of “specialty occupation” positions: Sports Instructors, Rehabilitation Coordinator.

Service Fields

Hospitality management, human resources, nursing, public administration, public health, and others.

Samples of “specialty occupation” positions: Health Educator, Human Resources Manager, Director of Nursing Administration, and others.

Type of Institution

Back to top of page